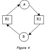
No contexto dos sistemas operacionais, _________ é a situação em que dois processos ficam impedidos de continuar suas execuções. Trata-se de um problema bastante estudado no contexto dos Sistemas Operacionais, assim como em outras disciplinas, como banco de dados, pois é inerente à própria natureza desses sistemas. Na figura 4, o processo é representado por um círculo e o recurso, por um quadrado. Quando um processo solicita um recurso, uma seta é dirigida do círculo ao quadrado. Quando um recurso é alocado a um processo, uma seta é dirigida do quadrado ao círculo. Pode-se ver dois processos diferentes (A e B), cada um com um recurso diferente alocado (R1 e R2), demonstrando um exemplo clássico de _________.

Assinale a alternativa que completa respectiva e corretamente as lacunas.