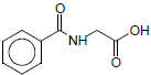
O tolueno pode ser classificado como moderadamente tóxico por inalação ou ingestão; a exposição a elevados níveis desse composto pode evoluir para o coma. A oxidação metabólica do tolueno pode produzir compostos excretados pelo organismo, entre eles o representado a seguir.

As funções orgânicas presentes no composto são, respectivamente,