Magna Concursos
153692 Ano: 2018
Disciplina: TI - Desenvolvimento de Sistemas
Banca: FUNRIO
Orgão: ALE-RR
Provas:

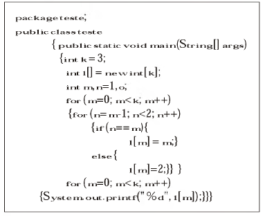
Seja este programa escrito em Java.

Enunciado 153692-1

Sua execução produz como resultado
 

Provas

Questão presente nas seguintes provas

Analista de Sistemas

50 Questões