
As árvores usadas como estruturas de pesquisa têm características especiais que garantem sua utilidade e propriedades como facilidade de acesso aos elementos procurados em cada instante. A esse respeito, considere as afirmações abaixo.
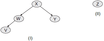
I – A árvore representada na figura (I) acima não é uma árvore AVL, pois as folhas não estão no mesmo nível.
II – A sequência 20, 30, 35, 34, 32, 33 representa um percurso sintaticamente correto de busca do elemento 33 em uma árvore binária de busca.
III – A árvore representada na figura (II) acima é uma árvore binária, apesar da raiz não ter filhos.
É(São) correta(s) APENAS a(s) afirmativa(s)
Provas
Questão presente nas seguintes provas
Analista de Sistemas - Processos de Negócios
120 Questões