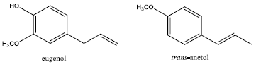
Eugenol e trans-anetol são compostos presentes em óleos essenciais obtidos de especiarias.

Em relação a esses dois compostos, é correto afirmar que:
Eugenol e trans-anetol são compostos presentes em óleos essenciais obtidos de especiarias.

Em relação a esses dois compostos, é correto afirmar que: