A estabilidade é um requisito necessário a operação segura de uma
planta e seu respectivo controle. Nesse aspecto, há uma grande
variedade de indicadores que procuram metrificar o grau relativo de
estabilidade de um sistema de controle, onde se destaca as margens
de ganho e de fase.
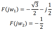
Considere um sistema de controle, cujo valor complexo da função de transferência de malha aberta F(s) é conhecida para duas frequências de interesse w1 e w2:

A partir dos dados desse sistema de controle, os valores da margem de ganho e da margem de fase, respectivamente, são
Considere um sistema de controle, cujo valor complexo da função de transferência de malha aberta F(s) é conhecida para duas frequências de interesse w1 e w2:

A partir dos dados desse sistema de controle, os valores da margem de ganho e da margem de fase, respectivamente, são