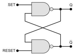
O diagrama lógico apresentado abaixo representa o LATCH com portas NAND.

Quando as entradas SET e RESET são iguais a 1, o que
ocorre com as saídas 
O diagrama lógico apresentado abaixo representa o LATCH com portas NAND.

Quando as entradas SET e RESET são iguais a 1, o que
ocorre com as saídas 