
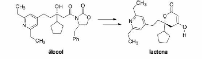
A figura acima ilustra a estratégia de síntese desenvolvida para o Filibuvir, em que o álcool é convertido na lactona, um intermediário avançado. Com relação a essas informações, julgue os itens que se seguem.
A reação, na presença de NaH em tetrahidrofurano, entre a molécula mostrada na figura abaixo e a lactona, leva à formação do Filibuvir.

Provas
Questão presente nas seguintes provas
Pesquisador do INPI - Farmácia/Farmacologia
120 Questões