Magna Concursos
1027834 Ano: 2019
Disciplina: Matemática
Banca: FAUEL
Orgão: Pref. Guarapuava-PR
Provas:

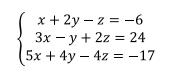
Qual a soma entre as raízes do sistema de equações abaixo?

Enunciado 1027834-1

 

Provas

Questão presente nas seguintes provas

Assistente Social

30 Questões

Médico - Pronto Atendimento

30 Questões

Procurador

30 Questões