Magna Concursos
508330 Ano: 2019
Disciplina: Matemática
Banca: FGV
Orgão: Pref. Salvador-BA
Provas:

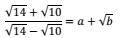
Na expressão

enunciado 508330-1

os números a e b são inteiros.

Então, b - a é igual a

 

Provas

Questão presente nas seguintes provas

Professor - Matemática

70 Questões