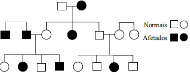
A árvore genealógica a seguir mostra indivíduos afetados por certa doença e indivíduos normais.

Pode-se afirmar que, de acordo com a genealogia apresentada, a doença possui padrão de herança
Provas
Questão presente nas seguintes provas
Professor da Educação Básica - EJA/Ciências
50 Questões