Magna Concursos
3106840 Ano: 2010
Disciplina: Engenharia Eletrônica
Banca: IFS
Orgão: IFS

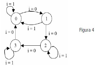
Com base no diagrama de estado apresentado na figura 4, qual a afirmativa correta?

Enunciado 3432957-1

 

Provas

Questão presente nas seguintes provas

Professor PEBTT - Eletrônica

40 Questões