Magna Concursos
2491408 Ano: 2014
Disciplina: Física
Banca: UFGD
Orgão: UFGD

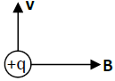
Utilizando a regra da mão direita represente a força magnética que atua numa carga positiva da figura abaixo:

Enunciado 2955439-1

 

Provas

Questão presente nas seguintes provas

Técnico de Laboratório - Física

50 Questões