Magna Concursos
842370 Ano: 2010
Disciplina: Engenharia Elétrica
Banca: FUNIVERSA
Orgão: MPE-GO
Provas:
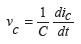
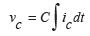
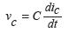
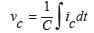
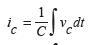
A fórmula matemática que representa a relação correta entre tensão enunciado 842370-1 e corrente enunciado 842370-2 em um capacitor de capacitância igual a C envolvendo o tempo t é
 

Provas

Questão presente nas seguintes provas

Engenheiro Eletricista

50 Questões