- FundamentosPotenciação e RadiciaçãoRadiciação
- FundamentosPotenciação e RadiciaçãoPotenciação
- Álgebra
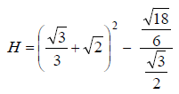
Considere a expressão
Dentre as alternativas a seguir, ASSINALE a que apresenta o valor mais próximo de H.
Dentre as alternativas a seguir, ASSINALE a que apresenta o valor mais próximo de H.