Magna Concursos
Questões
Planos
Entrar
Entrar
Criar Conta
Respondida
2775186
Ano:
2023
Disciplina:
Matemática
Banca:
FAUEL
Orgão:
Pref. Piên-PR
Provas:
Advogado
Provas
×
Arquiteto
Provas
×
Assistente Administrativo
Provas
×
Assistente Social
Provas
×
Enfermeiro
Provas
×
Engenheiro Ambiental
Provas
×
Engenheiro Civil
Provas
×
Farmacêutico
Provas
×
Fiscal Municipal
Provas
×
Médico
Provas
×
Médico Veterinário
Provas
×
Nutricionista
Provas
×
Odontólogo
Provas
×
Psicólogo
Provas
×
Funções
Função Exponencial
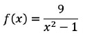
Assinale a alternativa que apresenta o maior domínio possível de uma função dada por
A
R
B
R -
{ 1 }
C
R
-
{ -1 }
D
R
-
{ 0 }
E
R
-
{ -1, 1 }
Resolver
Comentários
0
×
Cadernos
×
Flashcards
×
Estatísticas
×
Reportar um erro
×
Provas
Questão presente nas seguintes provas
Publicar
Responder
Qual o problema da questão?
Selecione uma opção
Questão Desatualizada
Questão Repetida
Gabarito Errado
Outros Motivos
Mensagem
Enviar
Acessar
Criar Conta
Acesse sua Conta
Google
Facebook
Esqueci minha senha
Acessar
Ainda não tem conta?
Crie uma
!
Crie uma Conta
Criar Conta
Olá, para continuar, precisamos criar uma conta!
É
rápido
e
grátis
.
Google
Facebook
Concordo com os
Termos de Uso
Criar
Já tem uma conta?
Acesse aqui