Magna Concursos
726494 Ano: 2019
Disciplina: Matemática
Banca: IBADE
Orgão: Pref. Aracruz-ES
Provas:

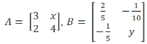
Marque a alternativa que apresenta os valores de x e y, respectivamente, para que as matrizes A e B sejam inversas.
enunciado 726494-1

 

Provas

Questão presente nas seguintes provas

Professor - Matemática

60 Questões