Magna Concursos
2328098 Ano: 2022
Disciplina: Matemática
Banca: FUNDATEC
Orgão: Pref. Viamão-RS

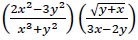
Qual o valor da expressão Enunciado 2328098-1se x = −2 e y = 3 ?

 

Provas

Questão presente nas seguintes provas

Assistente Social

60 Questões

Enfermeiro

60 Questões

Farmacêutico

60 Questões

Médico - Clínica Geral

60 Questões

Médico - Ginecologia e Obstetrícia

60 Questões

Médico Veterinário

60 Questões

Nutricionista

60 Questões

Odontólogo

60 Questões

Psicólogo

60 Questões