Magna Concursos
354786 Ano: 2018
Disciplina: Matemática
Banca: FADESP
Orgão: IF-PA
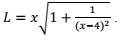
Seja ABC um triângulo retângulo com vértices A = (0,0), B = (x,0) e C = (0,y) com x > 0 e y > 0 . Sabendo que a reta que passa pelos vértices B e C também passa pelo ponto (4,1), temos que o comprimento da hipotenusa de ABC é dado, em funçao de x, por
 

Provas

Questão presente nas seguintes provas

Professor PEBTT - Matemática

60 Questões