Magna Concursos
410432 Ano: 2015
Disciplina: Matemática
Banca: IF-RR
Orgão: IF-RR
Provas:

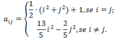
Seja A = (aij) uma matriz quadrada de ordem 2 tal que:

enunciado 410432-1

Sendo An , a n-ésima potência da matriz A , é CORRETO afirmar que:

 

Provas

Questão presente nas seguintes provas

Professor - Matemática

25 Questões