Magna Concursos

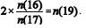
O edital do presente concurso prevê o total de 108 vagas para os cargos 16 (Assistente Administrativo), 17 (Assistente Cultural - Área: Cenotécnica ou Cenografia) e 19 (Assistente Cultural - Área: Produção). Sabe-se que o número de vagas para o cargo 17 é igual a enunciado 1745017-1 do número de vagas para o cargo 16 e que o número de vagas para o cargo 19 é igual a enunciado 1745017-2 do número de vagas para o cargo 16. Representando por n(16), n(17) e n(19) as quantidades de vagas para os cargos 16, 17 e 19, respectivamente, julgue os itens que se seguem.

I Apenas um dos números n(16), n(17) e n(19) é ímpar.

II n(17) + n(19) > n(16).

III enunciado 1745017-3 .

IV Os números n(17), n(19) e n(16) são, nessa ordem, diretamente proporcionais a 2, 5 e 20.

Estão certos apenas os itens

 

Provas

Questão presente nas seguintes provas

Assistente Administrativo

40 Questões

Assistente de Informática

40 Questões