Magna Concursos
Questões
Planos
Entrar
Entrar
Criar Conta
Respondida
778160
Ano:
2019
Disciplina:
Química
Banca:
DIRENS Aeronáutica
Orgão:
CIAAR
Provas:
EAOEAR - Engenharia Química
Provas
×
Química Orgânica
Outras Funções Orgânicas
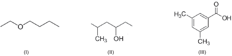
Os compostos abaixo se encaixam em três importantes grupos funcionais presentes em moléculas orgânicas:
A nom enclatura correta para os compostos (I), (II) e (III) é, respectivamente,
A
(I) butil etil éter/ (II) 5-metil-3-hexanol/ (III) ácido 3,5-dimetilbenzóico.
B
(I) etil butil éter/ (II) 2-metil-4-hexanol/ (III) ácido 1,5-dimetil-3-benzóico.
C
(I) etil butil éster/ (II) 1-etil-3-metil-1-butanol/ (III) ácido 4,6-dimetil-2-benzóico.
D
(I) butil etil cetona/ (II) 4-etil-2-metil-4-butanol/ (III) ácido 2,4-dimetil-6-benzóico.
Resolver
Comentários
0
×
Cadernos
×
Flashcards
×
Estatísticas
×
Reportar um erro
×
Provas
Questão presente nas seguintes provas
EAOEAR - Engenharia Química
60 Questões
Resolver Prova
Publicar
Responder
Qual o problema da questão?
Selecione uma opção
Questão Desatualizada
Questão Repetida
Gabarito Errado
Outros Motivos
Mensagem
Enviar
Acessar
Criar Conta
Acesse sua Conta
Google
Facebook
Esqueci minha senha
Acessar
Ainda não tem conta?
Crie uma
!
Crie uma Conta
Criar Conta
Olá, para continuar, precisamos criar uma conta!
É
rápido
e
grátis
.
Google
Facebook
Concordo com os
Termos de Uso
Criar
Já tem uma conta?
Acesse aqui