Julgue os itens a seguir, a respeito das noções básicas e gerais de economia.
Na função de utilidade de Cobb-Douglas
são as quantidades dos bens 1 e 2, respectivamente, e a > 0, o parâmetro a representa a fração de consumo do bem 1.
Julgue os itens a seguir, a respeito das noções básicas e gerais de economia.
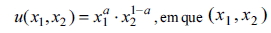
Na função de utilidade de Cobb-Douglas
são as quantidades dos bens 1 e 2, respectivamente, e a > 0, o parâmetro a representa a fração de consumo do bem 1.