Magna Concursos
1708381 Ano: 2008
Disciplina: Matemática
Banca: UPENET/IAUPE
Orgão: HEMOPE
Provas:

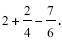
Dois funcionários do Hemope resolvem uma questão de matemática proposta pelo filho de um deles. Resolva a expressão: enunciado 1708381-1 Assinale a alternativa que corresponde ao resultado encontrado por eles.

 

Provas

Questão presente nas seguintes provas