Magna Concursos
Questões
Planos
Entrar
Entrar
Criar Conta
Respondida
1076570
Ano:
2012
Disciplina:
TI - Banco de Dados
Banca:
CESGRANRIO
Orgão:
PQS
Provas:
Analista de Infraestrutura Pleno
Provas
×
Modelagem de Dados
Diagrama Entidade-Relacionamento (DER)
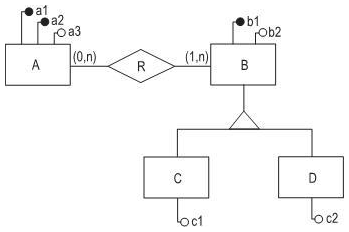
Seja o seguinte diagrama E-R, onde os identificadores são representados por círculos preenchidos.
Analisando esse diagrama, é possível afirmar que
A
a entidade A possui dois identificadores, que são a1 e a2.
B
a entidade B é uma especialização da entidade C e da entidade D.
C
a entidade C não possui identificador
D
uma instância de A tem que estar associada a pelo menos uma instância de B através da relação R.
E
uma instância de A tem que estar associada a pelo menos uma instância de C através da relação R.
Resolver
Comentários
0
×
Cadernos
×
Flashcards
×
Estatísticas
×
Reportar um erro
×
Provas
Questão presente nas seguintes provas
Analista de Infraestrutura Pleno
60 Questões
Resolver Prova
Publicar
Responder
Qual o problema da questão?
Selecione uma opção
Questão Desatualizada
Questão Repetida
Gabarito Errado
Outros Motivos
Mensagem
Enviar
Acessar
Criar Conta
Acesse sua Conta
Google
Facebook
Esqueci minha senha
Acessar
Ainda não tem conta?
Crie uma
!
Crie uma Conta
Criar Conta
Olá, para continuar, precisamos criar uma conta!
É
rápido
e
grátis
.
Google
Facebook
Concordo com os
Termos de Uso
Criar
Já tem uma conta?
Acesse aqui