Analise os itens a seguir e em seguida assinale a alternativa CORRETA:
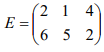
I. Efetuando a multiplicação do determinante da matriz transposta da matriz
pelo determinante
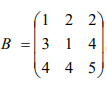
da matriz transposta da matriz
, obtemos um valor igual a -98.
II. Efetuando a multiplicação do determinante da matriz oposta da matriz
pelo determinante da
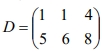
matriz transposta da matriz
obtemos como resultado um valor igual a -45.
III. Multiplicando a matriz oposta da matriz
pela matriz transposta da matriz
obtemos uma matriz igual a: