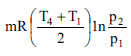
O ciclo Stirling é composto por quatro processos internamente reversíveis, uma compressão isotérmica do estado 1 ao 2 (T1 = T2), um aquecimento isocórico de 2 a 3 (v2 = v3), uma expansão isotérmica do estado 3 ao 4 (T3 = T4) e um resfriamento isocórico de 4 a 1 (v4 = v1). A massa de ar no motor é m. São conhecidas as temperaturas, T, e pressões, p, associadas a cada um dos estados. Considere que o ar comporta- se como gás ideal, com calores específicos constantes. A constante do ar é igual a R.
O trabalho líquido realizado pelo ciclo é igual a