Magna Concursos
605321 Ano: 2014
Disciplina: Engenharia Eletrônica
Banca: UFRGS
Orgão: UFRGS
Provas:
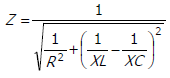
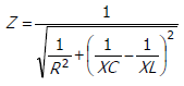
Um circuito RLC é composto por um resistor com resistência R, um indutor com reatância indutiva XL e um capacitor com reatância capacitiva XC. Os componentes são associados em paralelo. Qual a alternativa que indica o cálculo da impedância desse circuito?
 

Provas

Questão presente nas seguintes provas

Técnico Eletricista

40 Questões