1606565
Ano: 2011
Disciplina: Engenharia Eletrônica
Banca: CESGRANRIO
Orgão: BR Distribuidora
Disciplina: Engenharia Eletrônica
Banca: CESGRANRIO
Orgão: BR Distribuidora
Provas:

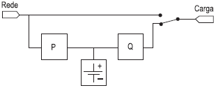
A figura acima mostra o circuito básico de um no-break, fornecendo energia para a carga através de um banco de baterias. O elemento P é utilizado para converter a energia da rede que está em corrente alternada, para carregar o bando de baterias em corrente contínua. O elemento Q é utilizado para converter a energia do banco de baterias em corrente contínua, para alimentar a carga em corrente alternada.
Os elementos P e Q são, respectivamente,