Magna Concursos
155512 Ano: 2018
Disciplina: Engenharia Química
Banca: CESGRANRIO
Orgão: Transpetro
Provas:
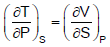
Considere a função de estado da energia interna U=U(S,V) e sua expressão diferencial dU=TdS-pdV. Correlacione com a entalpia H=H(S,P) e sua expressão H=U+PV.
A relação de Maxwell correspondente é
 

Provas

Questão presente nas seguintes provas

Engenheiro de Processamento

70 Questões