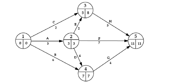
Uma das atividades mais importantes e complicadas na gestão da Construção Civil é a do Planejamento e controle do tempo de execução da obra. Na figura a seguir tem-se um diagrama de rede denominado PERT-CPM.

De acordo com a figura e os conceitos da Rede PERT-CPM, assinale a alternativa INCORRETA.