Magna Concursos
308605 Ano: 2010
Disciplina: Matemática
Banca: DECEx
Orgão: EsSA

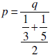
Se, Enunciado 308605-1 sendo p e q números inteiros positivos primos entre si, calcule pq.

 

Provas

Questão presente nas seguintes provas

Curso de Formação de Sargentos

36 Questões