
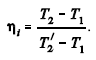
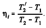
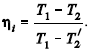
O processo mostrado no diagrama h-s acima ocorre em um turbocompressor axial que comprime ar ideal no qual, para a compressão adiabática reversível,

em que Y e Yi indicam, em cada caso, o trabalho específico interno para máquinas que trabalham com fluidos compressíveis. Nessa situação, o rendimento interno
do turbocompressor será dado por