Magna Concursos
838812 Ano: 2010
Disciplina: Matemática
Banca: Consulplan
Orgão: Pref. Campo Verde-MT
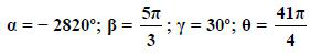
Sejam os seguintes ângulos: enunciado 838812-1.

Colocando as tangentes desses ângulos em ordem decrescente, obtemos:
 

Provas

Questão presente nas seguintes provas

Auxiliar de Laboratório

40 Questões

Oficial Administrativo

40 Questões