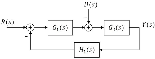
A presença de distúrbios em sistemas de controle deve ser considerada para a obtenção de controladores mais robustos. Considere um sistema de controle em malha-fechada, com a seguinte representação em diagrama de blocos:

Considere !$ R(s)=0 !$
Assinale a alternativa CORRETA.