3959035
Ano: 2025
Disciplina: Matemática
Banca: Avança SP
Orgão: Pref. São Miguel Arcanjo-SP
Disciplina: Matemática
Banca: Avança SP
Orgão: Pref. São Miguel Arcanjo-SP
Provas:
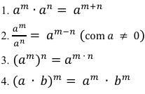
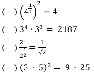
Na potenciação, há algumas propriedades que simplificam a expressão e auxiliam o processo algébrico. Com base nessas propriedades, relacione as colunas a seguir:
COLUNA I

COLUNA II

A Coluna I acima apresenta quatro propriedades da potenciação, e a Coluna II apresenta quatro expressões que utilizam alguma dessas propriedades para chegar ao estado atual.
Assinale a alternativa que apresenta a sequência correta, relacionando a propriedade de potenciação (Coluna I) aplicada à operação apresentada na Coluna II.