Magna Concursos
2314051 Ano: 2021
Disciplina: Química
Banca: VUNESP
Orgão: UNESP
Provas:

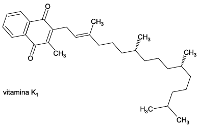
Considere a estrutura da vitamina K1.

Enunciado 3533293-1

Analisando-se a fórmula estrutural da vitamina K1, nota-se que essa vitamina é , apresenta cadeia carbônica , átomo de carbono e apresenta isômeros .

As lacunas do texto são preenchidas respectivamente por:

 

Provas

Questão presente nas seguintes provas

Vestibular

241 Questões