Considere o triângulo retângulo ABC com ângulo agudo α, como mostra a seguinte figura:

Para
com p,q ∈ ℕ e q ≠ 0, tem-se que os valores a, b e c são, respectivamente,
proporcionais a
Considere o triângulo retângulo ABC com ângulo agudo α, como mostra a seguinte figura:

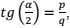
Para
com p,q ∈ ℕ e q ≠ 0, tem-se que os valores a, b e c são, respectivamente,
proporcionais a