Os sistemas mecânicos possuem três componentes passivos lineares: a mola, que são elementos armazenadores de energia; e o amortecedor viscoso, que dissipa energia. Na tabela a seguir, é a apresentada a força deslocamento para esses componentes, em que K, ƒv e M são, respectivamente, a constante de mola, o coeficiente de atrito viscoso e a massa.

A figura I seguinte ilustra um sistema massa-mola, cujo diagrama de corpo livre forças atuantes no corpo de massa M — é mostrado na figura II.

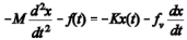
Considerando essas informações, assinale a opção que apresenta o modelo matemático obtido a partir do equilíbrio de forças no referido sistema massa-mola e permite o cáculo correto do deslocamento — x(t) — do corpo de massa M.