
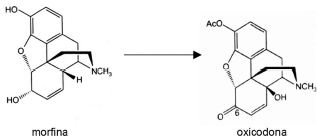
Com base nas representações estruturais fornecidas, as reações usadas para a obtenção da oxicodona, analgésico derivado da morfina, são apresentadas como

Com base nas representações estruturais fornecidas, as reações usadas para a obtenção da oxicodona, analgésico derivado da morfina, são apresentadas como