Magna Concursos
3035095 Ano: 2023
Disciplina: Matemática
Banca: Verbena
Orgão: MPE-AC
Provas:

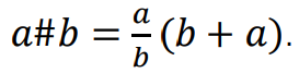
Dados dois números reais diferentes de zero, a e b, a operação “#” é definida como Enunciado 3035095-1Qual é o valor de Enunciado 3035095-2?

 

Provas

Questão presente nas seguintes provas

Técnico Ministerial

60 Questões