Considere que os dispositivos do circuito abaixo sejam todos ideais.
É correto afirmar que:
o circuito é um filtro passivo tipo passa-altas
a freqüência de corte do circuito é de ω= RC.
o circuito pode realizar pólos complexos.
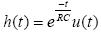
a resposta ao impulso do circuito, no domínio do tempo é.
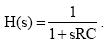
a função de transferência é
Olá, para continuar, precisamos criar uma conta! É rápido e grátis.