Magna Concursos
282838 Ano: 2008
Disciplina: Física
Banca: CESPE / CEBRASPE
Orgão: MPO

Julgue os itens subsequëntes, com relação a geometria das massas.

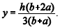
A ordenada y do centro de gravidade C do trapézio de bases b e a e altura h, ilustrado na figura abaixo, é Enunciado 282838-1

Enunciado 282838-2

 

Provas

Questão presente nas seguintes provas