Magna Concursos
155250 Ano: 2018
Disciplina: Engenharia Eletrônica
Banca: CESGRANRIO
Orgão: Transpetro
Provas:

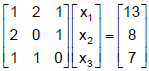
Considere o seguinte sistema de equações lineares:

Enunciado 155250-1

O valor da variável x2 é:

 

Provas

Questão presente nas seguintes provas

Engenheiro Eletricista

70 Questões