A cafeína é considerada um indicador da qualidade dos mananciais e do tratamento de água. A sua presença alerta para a contaminação por esgoto e, portanto, para a presença de outros contaminantes químicos na água.

(http://cienciahoje.uol.com.br. Acesso em 10 de janeiro 2013. Adaptado)
Um dos métodos utilizados na quantificação da cafeína se baseia na absorção de radiação eletromagnética na região do ultravioleta (UV). A cafeína apresenta um máximo de absorção no UV entre os comprimentos de onda de 271 e 275 nm.
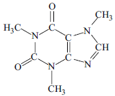
Essa absorção deve-se à presença, na molécula de cafeína, de
Provas
Questão presente nas seguintes provas