Magna Concursos
3158484 Ano: 2024
Disciplina: Engenharia Elétrica
Banca: CESPE / CEBRASPE
Orgão: Pref. Cachoeiro Itapemirim-ES
Provas:

Enunciado 3568612-1

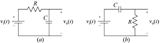
Com base nos circuitos (a) e (b) precedentes, julgue o item a seguir.

O módulo da função de transferência do circuito (b) no domínio da frequência é Enunciado 3568612-2

 

Provas

Questão presente nas seguintes provas

Engenheiro Eletricista

100 Questões