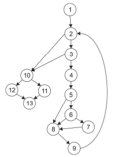
Considere o grafo abaixo.

A complexidade ciclomática é uma métrica que mede a complexidade de um determinado módulo (uma classe, um método, uma função etc.), a partir da contagem do número de caminhos independentes que ele pode executar até o seu fim. Um caminho independente é aquele que apresenta pelo menos uma nova condição (possibilidade de desvio de fluxo) ou um novo conjunto de comandos a serem executados. O resultado da complexidade ciclomática indica quantos testes, pelo menos, precisam ser executados para que se verifiquem todos os fluxos possíveis que o código pode tomar, a fim de garantir uma completa cobertura de testes.
(Adaptado de: https://www.treinaweb.com.br/blog/complexidade-ciclomatica-analise-estatica-e-refatoracao/)
Considerando que no grafo acima há 17 arestas e 13 nós, o cálculo da complexidade ciclomática resulta em