Magna Concursos
1419132 Ano: 2014
Disciplina: Engenharia Elétrica
Banca: VUNESP
Orgão: TJ-PA

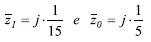
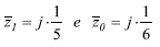
A barra de entrada do sistema elétrico de uma indústria possui potência de curto-circuito trifásico de j · 10 [p.u.] e potência de curto-circuito fase-terra de j · 9 [p.u.]. Assinale a alternativa que apresenta corretamente o valor das impedâncias de sequência positiva e de sequência zero, em valores por unidade, nessa barra.

 

Provas

Questão presente nas seguintes provas

Analista Judiciário - Engenharia Elétrica

70 Questões