Magna Concursos
405227 Ano: 2017
Disciplina: Matemática
Banca: IFB
Orgão: IFB

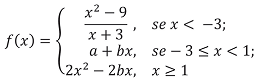
Em relação à função y = f(x), dada que:

Enunciado 405227-1

pode-se afirmar que:

 

Provas

Questão presente nas seguintes provas

Professor PEBTT - Matemática

50 Questões