Magna Concursos
3515851 Ano: 2024
Disciplina: Matemática
Banca: Pref. Bombinhas-SC
Orgão: Pref. Bombinhas-SC

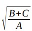
Sejam os seguintes números: A = 25 ; B = 16 ; C = 36 ; D = 49. Assinale a alternativa incorreta:

 

Provas

Questão presente nas seguintes provas

Professor do Ensino Fundamental - Matemática

30 Questões